1. LINEÁRNÍ ALGEBRA

Lineární závislost, lineární kombinace vektorů
Výpočet determinantu
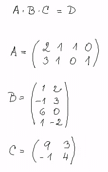
Násobení matic
Násobení matic
Násobení matic
Násobení matic
Určení hodnosti matice
Hodnost matice
Určení inverzní matice
Určení inverzní matice
Řešení soustavy lineárních rovnic Gaussovou eliminační metodou
Řešení soustavy lineárních rovnic Cramerovým pravidlem
Řešení soustavy lineárních rovnic Gaussovou eliminační metodou, použití pomocného součtového sloupečku
Řešení soustavy lineárních rovnic Cramerovým pravidlem
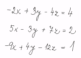
Řešení soustavy lineárních rovnic
Řešení soustavy lineárních rovnic
Řešení soustavy lineárních rovnic
Řešení maticové rovnice
Řešení maticové rovnice
Řešení maticové rovnice
Řešení maticové rovnice
Řešení maticové rovnice
Řešení maticové rovnice

2. ANALYTICKÁ GEOMETRIE

Napište rovnici roviny, která prochází přímkou p a je rovnoběžná s přímkou q.
Najděte souřadnice koncového bodu B vektoru u, znáte-li jeho počáteční bod A.
Je dán vektor a. Vypočítejte směrové úhly vektoru.
Vypočítejte odchylku vektorů.
Jsou dány vektory a,b. Vypočítejte souřadnice vektoru c, který je kolmý k oběma vektorům.
Jsou dány vektory a,b,c. Najděte takový vektor x, pro který platí...
Je dán trojúhelník ABC. Vypočítejte jeho obsah.
Jsou dány vektory a,b,c. Rozhodněte, zda jsou komplanární.
Je dán čtyřboký jehlan ABCV. Vypočítejte jeho objem.
Je dán trojúhelník ABC. Vypočítejte jeho vnitřní úhly.
Jsou dány vektory a,b. Určete konstanty m,n tak, aby a,b byly kolineární; ortogonální; komplanární.
Parametrické rovnice a kanonická rovnice přímky zadané bodem a směrovým vektorem
Parametrické rovnice a kanonická rovnice přímky zadané dvěma body
Napište rovnici přímky q rovnoběžné s přímkou p, která prochází bodem A.
Parametrické rovnice a kanonická rovnice přímky zadané jako průsečnice dvou rovin
Napište rovnici přímky, která je kolmá k rovině a prochází bodem A.
Napište parametrické rovnice, obecnou rovnici a úsekový tvar roviny, která prochází body A, B, C.
Napište rovnice roviny, která prochází bodem A a je kolmá k vektoru n.
Je dán bod A a vektory u, v. Napište rovnice roviny, která prochází bodem A a vektory u, v jsou s rovinou komplanární.
Rovina je dána rovnoběžkami p,q. Napište její parametrické rovnice a obecnou rovnici.
Rovina je dána různoběžkami p,q. Napište její parametrické rovnice a obecnou rovnici.
Napište rovnice roviny, která prochází bodem A a je rovnoběžná s přímkami p,q.
Napište rovnice roviny, která prochází přímkou a a je rovnoběžná s přímkou b.
Bodem A veďte rovinu kolmou k dané přímce k.
Napište rovnici roviny, která prochází bodem A a přímkou p danou jako průsečnice dvou rovin.
Rozhodněte o vzájemmé poloze přímek.
Rozhodněte o vzájemné poloze rovin.
Určete vzájemnou polohu přímky a roviny.
Vypočítejte vzdálenost.
Vypočítejte odchylku přímek p,q.
Najděte pravoúhlý průmět bodu do roviny.

3. FUNKCE JEDNÉ PROMĚNNÉ

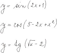
Definiční obor funkce
Definiční obor funkce
Definiční obor funkce
Definiční obor funkce
Definiční obor funkce
Definiční obor funkce
Definiční obor funkce
Definiční obor funkce
Definiční obor funkce
Limita
Limita
Limita
Limita
Limita
Limita
Limita
Limita
Limita
Limita
Limita
Jednostranná limita
Jednostranná limita
Jednostranná limita
Jednostranná limita
Jednostranná limita
Jednostranná limita
Limita goniometrické funkce
Limita goniometrické funkce
Limita goniometrické funkce
Limita goniometrické funkce
Limita goniometrické funkce
Limita goniometrické funkce
Limita goniometrické funkce
Limita goniometrické funkce
Limita goniometrické funkce
Limita goniometrické funkce
Limita goniometrické funkce
Limita exponenciální funkce
Limita exponenciální funkce
Limita exponenciální funkce
Limita exponenciální funkce
Limita exponenciální funkce
Limita exponenciální funkce
Limita exponenciální funkce
Limita exponenciální funkce
Limita exponenciální funkce
Limita v nevlastních bodech
Limita v nevlastních bodech
Limita v nevlastních bodech

4. DIFERENCIÁLNÍ POČET FUNKCE JEDNÉ PROMĚNNÉ

Výpočet derivace
Výpočet derivace
Výpočet derivace
Výpočet derivace
Výpočet derivace
Výpočet derivace
Výpočet derivace
Derivace složené funkce
Derivace složené funkce
Derivace složené funkce
Derivace složené funkce
Derivace logaritmické funkce
Derivace exponenciální a logaritmické funkce
Derivace
Derivace
Derivace
Derivace funkce
Derivace funkce
Derivace funkce
Derivace parametrické funkce
Druhá derivace
Tečna a normála grafu funkce v daném bodě
Tečna a normála grafu funkce v daných bodech
Tečna a normála grafu funkce v daném bodě
Tečna rovnoběžná s danou přímkou
Tečna rovnoběžná s danou přímkou
Tečna kolmá k dané přímce
Z bodu P veďte tečny...
Určete a reálné tak, aby daná přímka byla tečnou křivky
Taylorův polynom
Taylorův polynom
Taylorův polynom
Maclaurinův polynom
Maclaurinův polynom
Maclaurinův polynom
Maclaurinův polynom
Maclaurinův polynom
Maclaurinův polynom
L'Hospitalovo pravidlo
L'Hospitalovo pravidlo
L'Hospitalovo pravidlo
L'Hospitalovo pravidlo
Absolutní (globální) extrémy funkce
Absolutní (globální) extrémy funkce
Absolutní (globální) extrémy funkce
Průběh funkce
Průběh funkce
Průběh funkce
Průběh funkce
Průběh funkce
Průběh funkce

5. NEURČITÝ INTEGRÁL

Výpočet integrálů
Výpočet integrálů
Výpočet integrálů
Výpočet integrálů
Výpočet integrálů
Výpočet integrálů
Neurčitý integrál, metoda per partes
Výpočet integrálů - rozklad na parciální zlomky
Integrace iracionální fce
Integrál s goniometrickou funkcí
Integrál s goniometrickou funkcí

6. URČITÝ INTEGRÁL

Výpočet určitého integrálu
Výpočet určitého integrálu metodou per partes
Výpočet určitého integrálu substituční metodou
Obsah
Délka křivky
Objem rotačního tělesa
Povrch rotačního tělesa
Určitý integrál nevlastní vlivem funkce, meze

7.DIFERENCIÁLNÍ POČET FUNKCÍ DVOU PROMĚNNÝCH

Určení definiční oblasti funkce
Parciální derivace
Parciální derivace
Tečná rovina, normála
Tečná rovina, normála
Volné extrémy
Vázané extrémy

8. OBYČEJNÉ DIFERENCIÁLNÍ ROVNICE

Separovatelná diferenciální rovnice; kulturní vložka - vzorečky na logaritmy
Separovatelná diferenciální rovnice
Separovatelná diferenciální rovnice
Separovatelná diferenciální rovnice
Separovatelná diferenciální rovnice - Cauchyho úloha
Separovatelná diferenciální rovnice
Separovatelná diferenciální rovnice
Separovatelná diferenciální rovnice
Separovatelná diferenciální rovnice
Separovatelná diferenciální rovnice
Separovatelná diferenciální rovnice
Homogenní diferenciální rovnice
Homogenní diferenciální rovnice
Homogenní diferenciální rovnice
Homogenní diferenciální rovnice
Homogenní diferenciální rovnice
Homogenní diferenciální rovnice
Lineární diferenciální rovnice metodou variace konstant
Lineární diferenciální rovnice Bernoulliho substitucí
Lineární diferenciální rovnice metodou variace konstant
Lineární diferenciální rovnice Bernoulliho substitucí
Lineární diferenciální rovnice s počáteční podmínkou metodou variace konstant
Lineární diferenciální rovnice s počáteční podmínkou Bernoulliho substitucí
Lineární diferenciální rovnice metodou variace konstant
Lineární diferenciální rovnice Bernoulliho substitucí
Lineární diferenciální rovnice metodou variace konstant
Bernoulliova diferenciální rovnice
Bernoulliova diferenciální rovnice
Bernoulliova diferenciální rovnice
Bernoulliova diferenciální rovnice
Exaktní diferenciální rovnice
Exaktní diferenciální rovnice
Exaktní diferenciální rovnice
Exaktní diferenciální rovnice
Exaktní diferenciální rovnice
Lineární diferenciální rovnice vyšších řádů
Lineární diferenciální rovnice vyšších řádů
Lineární diferenciální rovnice vyšších řádů
Lineární diferenciální rovnice vyšších řádů
Lineární diferenciální rovnice vyšších řádů
Lineární diferenciální rovnice vyšších řádů
Lineární diferenciální rovnice vyšších řádů
Lineární diferenciální rovnice vyšších řádů
Lineární diferenciální rovnice vyšších řádů
Lineární diferenciální rovnice vyšších řádů
Lineární diferenciální rovnice vyšších řádů
Lineární diferenciální rovnice vyšších řádů (Wronskián)
Lineární diferenciální rovnice vyšších řádů (Wronskián)
Lineární diferenciální rovnice vyšších řádů (Wronskián)
Lineární diferenciální rovnice vyšších řádů (Wronskián)
Lineární diferenciální rovnice vyšších řádů (Wronskián)
Metoda neurčitých koeficientů
Metoda neurčitých koeficientů
Metoda neurčitých koeficientů
Metoda neurčitých koeficientů
Metoda neurčitých koeficientů
Metoda neurčitých koeficientů
Metoda neurčitých koeficientů
Metoda neurčitých koeficientů
Metoda neurčitých koeficientů
Metoda neurčitých koeficientů
Metoda neurčitých koeficientů

9. DVOJROZMĚRNÝ INTEGRÁL

Určete integrační meze...
Určete integrační meze...
Dvojný integrál - výpočet
Dvojný integrál - výpočet
Dvojný integrál - výpočet
Dvojný integrál - výpočet
Dvojný integrál - výpočet
Výpočet dvojného integrálu
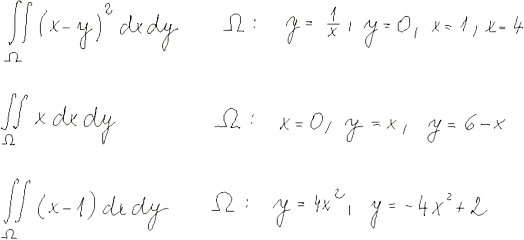
Geometrické aplikace dvojného integrálu - objem tělesa, obsah elementární oblasti, obsah plochy

10. TROJROZMĚRNÝ INTEGRÁL

Trojrozměrný integrál
Trojrozměrný integrál
Objem tělesa

11.KŘIVKOVÝ INTEGRÁL

Křivkový integrál 1. druhu
Křivkový integrál 2. druhu
Křivkový integrál - nezávislost na integrační cestě
Výpočet integrálu po uzavřené křivce s užitím Greenovy věty
Geometrické aplikace křivkového integrálu - obsah válcové plochy, délka křivky, obsah rovinné plochy

12. ŘADY

Číselné řady
Geometrická řada
Kritérium konvergence
Alternující řady, konvergence
Poloměr konvergence a obor konvergence mocninné řady
Poloměr konvergence a obor konvergence mocninné řady
Poloměr konvergence a obor konvergence mocninné řady
Poloměr konvergence a obor konvergence mocninné řady, součet řady
Poloměr konvergence a obor konvergence mocninné řady, součet řady
Mocninné řady
Řešení diferenciální rovnice ve tvaru mocninné řady